samedi 3 janvier 2015

L'agriculture répond-t-elle aux enjeux de notre société ?

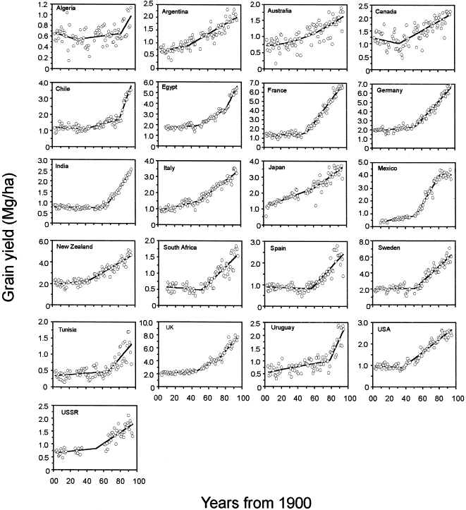
Rien ne vaut une très bonne présentation graphique pour se faire une opinion
 
 
L'enjeu : la population mondiale





fournir l'alimentation à cette population croissante, sans plus de surface (environnement)

avec un prix toujours plus accessible possible



mais qui ont toujours montré une grande variabilité

tout cela grâce au travail et à la science des hommes, augmenter les rendements partout


La révolution verte est une cassure nette, depuis le rythme reste soutenu par la génétique


pour une vie meilleure...
 
 
et une espérance de vie...
 


Auteur Max Roser et merci à Arnaud Maréchal via tweeter


Aucun commentaire:

Enregistrer un commentaire